-
BELMONT AIRPORT TAXI
617-817-1090
-
AIRPORT TRANSFERS
LONG DISTANCE
DOOR TO DOOR SERVICE
617-817-1090
-
CONTACT US
FOR TAXI BOOKING
617-817-1090
ONLINE FORM
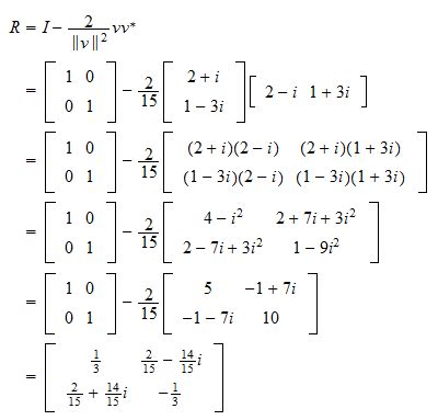
Householder matrix calculator. The initial matrix is reduced to upper triangular for...
Householder matrix calculator. The initial matrix is reduced to upper triangular form by applying a sequence of Householder transformations to annihilate the subdiagonal entries in successive columns. Jul 10, 2016 · The columns of the matrix must be linearly independent in order to preform QR factorization. Alternate algorithms include modified Gram Schmidt, Givens rotations, and Householder reflections. Note: this uses Gram Schmidt orthogonalization which is numerically unstable. A QR Decomposition Calculator is a computational tool designed to automate this process. About matrix QR decomposition calculator This is a free online matrix QR decomposition calculator with complete, detailed, step-by-step description of solutions, that performs operations with matrices up to 99x99 in size with matrix elements of this type: decimal numbers, fractions, complex numbers, variables. Values close to zero indicate numerical consistency. The two points should be the input,. LU Decomposition Calculator Size of the The Householder Transformation Calculator offers a hands‑on way to experiment with one of linear algebra’s most versatile tools. Householder Matrix Calculator I'm looking for an online calculator for the Householder matrix that transforms a point (vector) into its reflection. wemd tics jqfr dbmpn oqdt eqw youul riil phvzcf xcf
